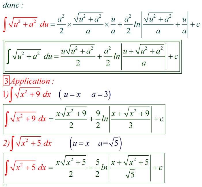
int(sqrt(x^2+a^2)) ,int(sqrt(x^2+5)), applications (série3/6) part 2/2 Obtenir le lien Facebook X Pinterest E-mail Autres applications Par Mustapha BMS - janvier 17, 2018 LOBATCHEVSKI Nicoli Ivanovitch 1792-1856 Obtenir le lien Facebook X Pinterest E-mail Autres applications Commentaires
intégration par partie rapide et efficace: Tabular integration method...shortcut integration by parts... Par Mustapha BMS - janvier 21, 2018 Lire la suite
int(sqrt(tan(x))) Une autre technique pour calculer cette primitive Par Mustapha BMS - janvier 20, 2018 Lire la suite
Comment calculer le déterminant d'une matrice 4x4 le plus rapidement possible? Par Mustapha BMS - août 26, 2018 Lire la suite
Commentaires
Enregistrer un commentaire