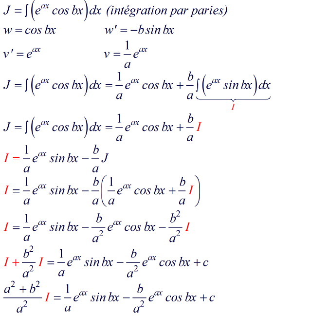
Démonstration d'une FORMULE IMPORTANTE Important formula part (A). int(exp(ax)*sin(bx))..Formule importante A Obtenir le lien Facebook X Pinterest E-mail Autres applications Par Mustapha BMS - décembre 25, 2017 BOLTZMANN Ludwig 1844-1906 Obtenir le lien Facebook X Pinterest E-mail Autres applications Commentaires
int(sqrt(tan(x))) Une autre technique pour calculer cette primitive Par Mustapha BMS - janvier 20, 2018 Lire la suite
intégration par partie rapide et efficace: Tabular integration method...shortcut integration by parts... Par Mustapha BMS - janvier 21, 2018 Lire la suite
Comment calculer le déterminant d'une matrice 4x4 le plus rapidement possible? Par Mustapha BMS - août 26, 2018 Lire la suite
Commentaires
Enregistrer un commentaire